糖心少女VLOG

MENU

糖心少女VLOG

Production Platform

多磺酸粘多糖粉末

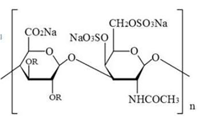
多磺酸粘多糖,商品名: ,英文名: Mucopolysaccharide Polysulfate [1],多磺酸粘多糖是用若干磺酸化的 D-与 N-乙酰-D-多乳糖胺组成的二糖单元连接而成。多磺酸粘多糖的分子量在5000~15000道尔顿之间。本品为乳剂型基质的白色软膏,有草酚的气味。

22d6d5dc-92dc-4c48-8b53-171dd097bbb8.png54f3ef5c-9d48-4b06-9c3d-d667494956d7.png

多磺酸粘多糖(MPS)的制备工艺主要包括以下几种方法,结合不同原料和技术特点,

 具体如下:

1. 基于硫酸软骨素ACSA)的降解磺酸化法

原料:硫酸软骨素ACSA)。

步骤:

  1. 降解:用30%双氧水溶解CSA,在100℃油浴中降解6小时,随后加入NaOH终止反应并分解残留HO₂。透析后冷冻干燥,得到降解多糖。

  2. 磺酸化:将降解多糖溶解于甲酰胺,加入氯磺酸与甲酰胺的混酸溶液,50℃加热搅拌3小时。中和后透析、冷冻干燥,获得多磺酸粘多糖(MPS)。

  3. 结构鉴定:通过高效液相色谱(HPLC)测定分子量(5-15 kDa),红外光谱和核磁共振(NMR)分析官能团。

 特点:该方法简化了传统工艺,适合工业化生产,分子量可控(优选8.39 kDa),产物具有美白、抗炎和抗衰活性。

 2. 传统提取-纯化-修饰法**

原料:海藻、真菌或动物软骨等生物组织。

-步骤:

  1. 提取:

     - 酸碱水解法:通过调节酸碱条件断裂多糖链。

     - 酶解法:使用酶降解杂质,保留目标多糖。

  2. 纯化:

     沉淀法:控制pH和温度使多糖沉淀。

     膜过滤法:按分子量截留目标成分。

     离子交换法:利用树脂吸附后洗脱。

  3. 修饰:通过磺化、酯化或酰化等化学修饰增强功能(如溶解性或稳定性)。

- 特点:传统方法步骤多,但适用于不同来源原料,需结合后续修饰提升性能。

  3. 晶型A的制备工艺

步骤:

  1. 溶解:将MPS与有机溶剂(如乙醇-水混合液)按比例混合,高温溶解。

  2. 析晶:通过温差法(50-60℃溶解后降温至0-25℃)析出晶型A

特点:晶型A具有特定X射线衍射峰(如19.1°、31.9°等),溶出性和化学稳定性优异,适合药物制剂开发。

4. 质量控制与检测方法**

HPLC分离检测:采用阴离子交换柱和梯度洗脱法,分离MPS与杂质(如硫酸皮肤素),检测波长222 nm,确保产物纯度。

 工艺对比与选择

工业化生:优先选择硫酸软骨素A的降解磺酸化法,因其步骤简化、分子量可控。

原料多样性:传统提取法适合不同生物来源,但需结合纯化与修饰。

药物开发:晶型A的制备可提升制剂性能,但需额外结晶步骤。


糖心少女VLOG 糖心少女VLOG 糖心官网,糖心VLOG,,糖心入口,糖心短视频,糖心正版资源 糖心官网,糖心VLOG,,糖心入口,糖心短视频,糖心正版资源 糖心官网,糖心VLOG,,糖心入口,糖心短视频,糖心正版资源